周期、频率、转速的定义:
1、周期:做圆周运动的物体运动一周所用的时间叫做周期,用T表示,单位为秒(s)。
2、频率:做圆周运动的物体单位时间内沿圆周绕圆心转过的圈数叫做频率,用f表示,单位为赫兹(Hz)。
3、转速:做圆周运动的物体在单位时间内沿圆周绕圆心转过的圈数,用n表示,单位为转每秒(r/s)。
4、v、ω、T、f、n的关系:
,
,
。
周期,频率与线速度、角速度的关系:
知识点拨:
1、周期T:做圆周运动的物体运动一周所用的时间叫做周期.
2、频率f:周期的倒数叫频率,表示1s内质点所转过的周数.频率的单位是Hz.
3、转速n:做圆周运动的物体单位时间内沿圆周绕圆心转过的圈数,叫转速.通常用n表示,单位是r/s. 实际中所说的转数是指做匀速圆周运动的物体每分钟转过的圈数,用n表示,单位是转每分(r/min).
说明:频率和转速对匀速圆周运动来说在意义上是相等的,但频率具有更广泛的意义,两者的单位也不相同。
相关高中物理知识点:角速度
角速度的定义:
圆周运动中,连接质点和圆心的半径转过的角度
跟所用时间
的比值叫做角速度。
,
。
角速度的特性:
角速度是矢量,高中阶段不研究其方向。它是描述做圆周运动的物体绕圆心转动快慢的物理量
。
单位:在国际单位制中,单位是“弧度/秒”(rad/s)。(1rad=360d°/(2π)≈57°17'45″)
转动周数时(例如:每分钟转动周数),则以转速来描述转动速度快慢。角速度的方向垂直于转动平面,可通过右手螺旋定则来确定。(角速度的方向,在高中物理的学习不属于考察的内容)
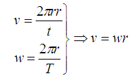
线速度和角速度的对比:
角速度是单位时间转过的角度;或者说是转过的角度和所用时间的比值。
线速度是单位时间走过的弧长;或者说是弧长和所用时间的比值。
角速度和线速度的关系:
知识拓展提升:
例:计算地球和月亮公转的角速度:

通过计算知道,书中所提到的地球和月球的争论是没有结论的。比较运动得快慢,要看比较线速度还是角速度,不能简单说谁快谁慢。
本文来自:逍遥右脑记忆 /gaozhong/284840.html
相关阅读:合理分配时间选好答题方法
高考物理备考:物理常用的两种解题方法
高考理综复习要领:求准求稳求规范
惯性的解释
成语中的物理知识
