1弧度的角的概念:
长度等于半径长的弧所对的圆心角叫做1弧度的角,记作1rad。
弧度制:
用弧度作单位来度量角的制度叫弧度制。
一般地:正角的弧度数是一个正数,负角的弧度数是一个负数,零角的弧度数是0。
角α的弧度公式:
(l表示圆心角α所对的弧长,r表示圆的半径)。
角度与弧度的换算公式:
360°=2π,180°=π,1°=
rad≈0.01745rad,1rad=
≈57.30°=57°18′。
扇形面积公式:
S=
lr=
|α|r2。
扇形面积公式和弧长公式用角度制和弧度制表示对比:
几种常用角之间的换算:

几种常用角的表示:

相关高中数学知识点:任意角的三角函数
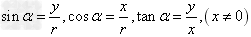
任意角的三角函数的定义:
设α是任意一个角,α的终边上任意一点P的坐标是(x,y),它与原点的距离是
,那么
,
,
以上以角为自变量,比值为函数的六个函数统称为三角函数。三角函数值只与角的大小有关,而与终边上点P的位置无关。
象限角的三角函数符号:
一全正,二正弦,三两切,四余弦。
特殊角的三角函数值:(见下表)

本文来自:逍遥右脑记忆 /gaozhong/258360.html
相关阅读:三角函数图象性质
高中数学学习方法:高二数学复习八大原则
高中数学:扇形的面积公式_高中数学公式
科学把握数学新课标
高考数学复习:系统梳理 重点掌握
