数列求和的常用方法:
1.裂项相加法:数列中的项形如
的形式,可以把
表示为
,累加时抵消中间的许多项,从而求得数列的和;
2、错位相减法:源于等比数列前n项和公式的推导,对于形如
的数列,其中
为等差数列,
为等比数列,均可用此法;
3、倒序相加法:此方法源于等差数列前n项和公式的推导,目的在于利用与首末两项等距离的两项相加有公因式可提取,以便化简后求和。
4、分组转化法:把数列的每一项分成两项,或把数列的项“集”在一块重新组合,或把整个数列分成两个部分,使其转化为等差或等比数列,这一求和方法称为分组转化法。
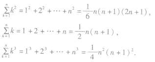
5、公式法求和:所给数列的通项是关于n的多项式,此时求和可采用公式求和,常用的公式有:
数列求和的方法多种多样,要视具体情形选用合适方法。
数列求和特别提醒:
(1)对通项公式含有
的一类数列,在求
时,要注意讨论n的奇偶性;
(2)在用等比数列前n项和公式时,一定要分q=1和q≠1两种情况来讨论。
本文来自:逍遥右脑记忆 /gaozhong/312376.html
相关阅读:三角函数图象性质
高中数学:扇形的面积公式_高中数学公式
高中数学学习方法:高二数学复习八大原则
高考数学复习:系统梳理 重点掌握
科学把握数学新课标
