对数函数的定义:
一般地,我们把函数y=logax(a>0,且a≠1)叫做对数函数,其中x是自变量,函数的定义域是(0,+∞),值域是R。
对数函数的解析式:
y=logax(a>0,且a≠1)
在解有关对数函数的解析式时注意:
在涉及到对数函数时,一定要注意定义域,即满足真数大于零;求值域时,还要考虑底数的取值范围。
相关高中数学知识点:对数与对数运算
对数的定义:
如果ax=N(a>0,且a≠1),那么数x叫做以a为底N的对数,记做
,其中a叫做对数的底数,N叫做真数。
通常以10为底的对数叫做常用对数,记做
;
以无理数e=2.71828…为底的对数叫做自然对数,记做
。
由定义知负数和0没有对数。
常用对数:
以10为底的对数叫做常用对数,
。
自然对数:
以e为底的对数叫做自然对数,e是无理数,e≈-2. 718 28,
。
对数的运算性质:
如果a>0,且a≠1,M>0,N>0,那么
(1)
;
(2)
;
(3)
;
(4)
。
对数的恒等式:
(1)
;(2)
;
(3)
;(4)
;
(5)
。
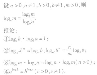
对数的换底公式及其推论:
对数式的化简与求值:
(1)化同底是对数式变形的首选方向,其中经常用到换底公式及其推论.
(2)结合对数定义,适时进行对数式与指数式的互化.
(3)利用对数运算法则,在积、商、幂的对数与对数的和、差、倍之间进行转化,
本文来自:逍遥右脑记忆 /gaozhong/391502.html
相关阅读:高考数学复习:系统梳理 重点掌握
三角函数图象性质
科学把握数学新课标
高中数学学习方法:高二数学复习八大原则
高中数学:扇形的面积公式_高中数学公式
