函数的奇偶性定义:
偶函数:一般地,如果对于函数f(x)的定义域内任意一个x,都有f(-x)=f(x),则称函数f(x)为偶函数。
奇函数:一般地,如果对于函数f(x)的定义域内任意一个x,都有f(-x)=-f(x),那么函数f(x)是奇函数。
函数的周期性:
(1)定义:若T为非零常数,对于定义域内的任一x,使f(x+T)=f(x)恒成立,则f(x)叫做周期函数,T叫做这个函数的一个周期。
周期函数定义域必是无界的。
(2)若T是周期,则k·T(k≠0,k∈Z)也是周期,所有周期中最小的正数叫最小正周期。一般所说的周期是指函数的最小正周期。
周期函数并非都有最小正周期,如常函数f(x)=C。
奇函数与偶函数性质:
(1)奇函数与偶函数的图像的对称性:奇函数的图像关于原点对称,偶函数的图像关于y轴对称。
(3)在公共定义域内,①两个奇函数的和是奇函数,两个奇函数的积是偶函数; ②两个偶函数的和、积是偶函数; ③一个奇函数,一个偶函数的积是奇函数。
注:定义域在数轴上关于原点对称是函数f(x)为奇函数或偶函数的必要但不充分条件.
1、函数是奇函数或偶函数的前提定义域必须关于原点对称;定义域在数轴上关于原点对称是函数f(x)为奇函数或偶函数的必要但不充分条件.
2、函数的周期性 令a,b均不为零,若:
(1)函数y=f(x)存在f(x)=f(x+a)==>函数最小正周期T=|a|
(2)函数y=f(x)存在f(a+x)=f(b+x)==>函数最小正周期T=|b-a|
(3)函数y=f(x)存在f(x)=-f(x+a)==>函数最小正周期T=|2a|
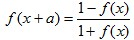
(4)函数y=f(x)存在f(x+a)=
==>函数最小正周期T=|2a|
(5)函数y=f(x)存在f(x+a)=
==>函数最小正周期T=|4a|
本文来自:逍遥右脑记忆 /gaozhong/393180.html
相关阅读:高考数学复习:系统梳理 重点掌握
高中数学学习方法:高二数学复习八大原则
高中数学:扇形的面积公式_高中数学公式
科学把握数学新课标
三角函数图象性质
