欢迎来到记忆方法网-免费提供各种记忆力训练学习方法!

高中数学知识点:分式不等式

编辑: 路逍遥 关键词: 高中数学 来源: 记忆方法网
分母恒为正时可去分母;分母不恒为正时不能去分母,应先移项使右边为0再通分并将分子分母分解因式,最后用标根法求解。解分式不等式的主旨是化分式不等式为整式不等式,进行求解。

分式不等式的解法:


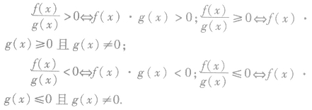
分母恒为正时可去分母;分母不恒为正时不能去分母,应先移项使右边为0再通分并将分子分母分解因式,最后用标根法求解。解分式不等式的主旨是化分式不等式为整式不等式,进行求解,即



本文来自:逍遥右脑记忆 /gaozhong/507602.html

相关阅读:高中数学:扇形的面积公式_高中数学公式
高考数学复习:系统梳理 重点掌握
高中数学学习方法:高二数学复习八大原则
三角函数图象性质
科学把握数学新课标