绝密★启用前
2019年普通高等学校招生全国统一考试
理科综合能力测试
注意事项:
1.答卷前,考生务必将自己的姓名、准考证号填写在答题卡上。
2.回答选择题时,选出每小题答案后,用铅笔把答题卡上对应题目的答案标号涂黑,如需改动,用橡皮擦干净后,再选涂其它答案标号。回答非选择题时,将答案写在答题卡上,写在本试卷上无效。。
3.考试结束后,将本试卷和答题卡一并交回。
可能用到的相对原子质量:H 1 Li 7 C 12 N 14 O 16 Na 23 S 32 Cl 35.5 Ar 40 Fe 56 I 127
一、选择题:本题共13个小题,每小题6分。共78分,在每小题给出的四个选项中,只有一项是符合题目要求的。
1.细胞凋亡是细胞死亡的一种类型。下列关于人体中细胞凋亡的叙述,正确的是
A.胎儿手的发育过程中不会发生细胞凋亡
B.小肠上皮细胞的自然更新过程中存在细胞凋亡现象
C.清除被病原体感染细胞的过程中不存在细胞凋亡现象
D.细胞凋亡是基因决定的细胞死亡过程,属于细胞坏死
2.用体外实验的方法可合成多肽链。已知苯丙氨酸的密码子是UUU,若要在体外合成同位素标记的多肽链,所需的材料组合是
①同位素标记的tRNA
②蛋白质合成所需的酶
③同位素标记的苯丙氨酸
④人工合成的多聚尿嘧啶核苷酸
⑤除去了DNA和mRNA的细胞裂解液
A.①②④
B.②③④
C.③④⑤
D.①③⑤
3.将一株质量为20 g的黄瓜幼苗栽种在光照等适宜的环境中,一段时间后植株达到40 g,其增加的质量来自于
A.水、矿质元素和空气
B.光、矿质元素和水
C.水、矿质元素和土壤
D.光、矿质元素和空气
4.动物受到惊吓刺激时,兴奋经过反射弧中的传出神经作用于肾上腺髓质,使其分泌肾上腺素;兴奋还通过传出神经作用于心脏。下列相关叙述错误的是
A.兴奋是以电信号的形式在神经纤维上传导的
B.惊吓刺激可以作用于视觉、听觉或触觉感受器
C.神经系统可直接调节、也可通过内分泌活动间接调节心脏活动
D.肾上腺素分泌增加会使动物警觉性提高、呼吸频率减慢、心率减慢
5.某种二倍体高等植物的性别决定类型为XY型。该植物有宽叶和窄叶两种叶形,宽叶对窄叶为显性。控制这对相对性状的基因(B/b)位于X染色体上,含有基因b的花粉不育。下列叙述错误的是
A.窄叶性状只能出现在雄株中,不可能出现在雌株中
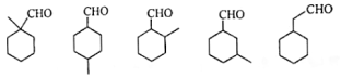
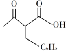
B.宽叶雌株与宽叶雄株杂交,子代中可能出现窄叶雄株
C.宽叶雌株与窄叶雄株杂交,子代中既有雌株又有雄株
D.若亲本杂交后子代雄株均为宽叶,则亲本雌株是纯合子
6.某实验小组用细菌甲(异养生物)作为材料来探究不同条件下种群增长的特点,设计了三个实验组,每组接种相同数量的细菌甲后进行培养,培养过程中定时更新培养基,三组的更新时间间隔分别为3 h、10 h、23 h,得到a、b、c三条种群增长曲线,如图所示。下列叙述错误的是

A.细菌甲能够将培养基中的有机物分解成无机物
B.培养基更换频率的不同,可用来表示环境资源量的不同
C.在培养到23 h之前,a组培养基中的营养和空间条件都是充裕的
D.培养基更新时间间隔为23 h时,种群增长不会出现J型增长阶段
7.陶瓷是火与土的结晶,是中华文明的象征之一,其形成、性质与化学有着密切的关系。下列说法错误的是
A.“雨过天晴云破处”所描述的瓷器青色,来自氧化铁
B.闻名世界的秦兵马俑是陶制品,由黏土经高温烧结而成
C.陶瓷是应用较早的人造材料,主要化学成分是硅酸盐
D.陶瓷化学性质稳定,具有耐酸碱侵蚀、抗氧化等优点
8.关于化合物2苯基丙烯(
),下列说法正确的是
A.不能使稀高锰酸钾溶液褪色
B.可以发生加成聚合反应
C.分子中所有原子共平面
D.易溶于水及甲苯
9.实验室制备溴苯的反应装置如下图所示,关于实验操作或叙述错误的是

A.向圆底烧瓶中滴加苯和溴的混合液前需先打开K
B.实验中装置b中的液体逐渐变为浅红色
C.装置c中的碳酸钠溶液的作用是吸收溴化氢
D.反应后的混合液经稀碱溶液洗涤、结晶,得到溴苯
10.固体界面上强酸的吸附和离解是多相化学在环境、催化、材料科学等领域研究的重要课题。下图为少量HCl气体分子在253 K冰表面吸附和溶解过程的示意图。下列叙述错误的是

A.冰表面第一层中,HCl以分子形式存在
B.冰表面第二层中,H+浓度为5×103 mol·L1(设冰的密度为0.9 g·cm3)
C.冰表面第三层中,冰的氢键网格结构保持不变
D.冰表面各层之间,均存在可逆反应HCl
H++Cl
11.NaOH溶液滴定邻苯二甲酸氢钾(邻苯二甲酸氢钾H2A的Ka1=1.1×103 ,Ka2=3.9×106)溶液,混合溶液的相对导电能力变化曲线如图所示,其中b点为反应终点。下列叙述错误的是

A.混合溶液的导电能力与离子浓度和种类有关
B.Na+与A2的导电能力之和大于HA的
C.b点的混合溶液pH=7
D.c点的混合溶液中,c(Na+)>c(K+)>c(OH)
12.利用生物燃料电池原理研究室温下氨的合成,电池工作时MV2+/MV+在电极与酶之间传递电子,示意图如下所示。下列说法错误的是

A.相比现有工业合成氨,该方法条件温和,同时还可提供电能
B.阴极区,在氢化酶作用下发生反应H2+2MV2+
2H++2MV+
C.正极区,固氮酶为催化剂,N2发生还原反应生成NH3
D.电池工作时质子通过交换膜由负极区向正极区移动
13.科学家合成出了一种新化合物(如图所示),其中W、X、Y、Z为同一短周期元素,Z核外最外层电子数是X核外电子数的一半。下列叙述正确的是

A.WZ的水溶液呈碱性
B.元素非金属性的顺序为X>Y>Z
C.Y的最高价氧化物的水化物是中强酸
D.该新化合物中Y不满足8电子稳定结构
二、选择题:本题共8小题,每小题6分。在每小题给出的四个选项中,第14~18题只有一项符合题目要求,第19~21题有多项符合题目要求。全部选对的得6分,选对但不全的得3分,有选错的得0分。
14.氢原子能级示意图如图所示。光子能景在1.63 eV~3.10 eV的光为可见光。要使处于基态(n=1)的氢原子被激发后可辐射出可见光光子,最少应给氢原子提供的能量为

A.12.09 eVB.10.20 eVC.1.89 eV D.1.5l eV
15.如图,空间存在一方向水平向右的匀强磁场,两个带电小球P和Q用相同的绝缘细绳悬挂在水平天花板下,两细绳都恰好与天花板垂直,则

A.P和Q都带正电荷
B.P和Q都带负电荷
C.P带正电荷,Q带负电荷
D.P带负电荷,Q带正电荷
16.最近,我国为“长征九号”研制的大推力新型火箭发动机联试成功,这标志着我国重型运载火箭的研发取得突破性进展。若某次实验中该发动机向后喷射的气体速度约为3 km/s,产生的推力约为4.8×108 N,则它在1 s时间内喷射的气体质量约为
A.1.6×102 kgB.1.6×103 kgC.1.6×105 kg D.1.6×106 kg

19.如图,一粗糙斜面固定在地面上,斜面顶端装有一光滑定滑轮。一细绳跨过滑轮,其一端悬挂物块N。另一端与斜面上的物块M相连,系统处于静止状态。现用水平向左的拉力缓慢拉动N,直至悬挂N的细绳与竖直方向成45°。已知M始终保持静止,则在此过程中

A.水平拉力的大小可能保持不变
B.M所受细绳的拉力大小一定一直增加
C.M所受斜面的摩擦力大小一定一直增加
D.M所受斜面的摩擦力大小可能先减小后增加
20.空间存在一方向与直面垂直、大小随时间变化的匀强磁场,其边界如图(a)中虚线MN所示,一硬质细导线的电阻率为ρ、横截面积为S,将该导线做成半径为r的圆环固定在纸面内,圆心O在MN上。t=0时磁感应强度的方向如图(a)所示:磁感应强度B随时间t的变化关系如图(b)所示,则在t=0到t=t1的时间间隔内

A.圆环所受安培力的方向始终不变
B.圆环中的感应电流始终沿顺时针方向
C.圆环中的感应电流大小为![]()
D.圆环中的感应电动势大小为![]()
21.在星球M上将一轻弹簧竖直固定在水平桌面上,把物体P轻放在弹簧上端,P由静止向下运动,物体的加速度a与弹簧的压缩量x间的关系如图中实线所示。在另一星球N上用完全相同的弹簧,改用物体Q完成同样的过程,其a–x关系如图中虚线所示,假设两星球均为质量均匀分布的球体。已知星球M的半径是星球N的3倍,则

A.M与N的密度相等
B.Q的质量是P的3倍
C.Q下落过程中的最大动能是P的4倍
D.Q下落过程中弹簧的最大压缩量是P的4倍
三、非选择题:共174分,第22~32题为必考题,每个试题考生都必须作答。第33~38题为选考题,考生根据要求作答。
(一)必考题:共129分。
22.(5分)
某小组利用打点计时器对物块沿倾斜的长木板加速下滑时的运动进行研究。物块拖动纸带下滑,打出的纸带一部分如图所示。已知打点计时器所用交流电的频率为50 Hz,纸带上标出的每两个相邻点之间还有4个打出的点未画出。在ABCDE五个点中,打点计时器最先打出的是 点,在打出C点时物块的速度大小为 m/s(保留3位有效数字);物块下滑的加速度大小为 m/s2(保留2位有效数字)。

23.(10分)
某同学要将一量程为250μA的微安表改装为量程为20 mA的电流表。该同学测得微安表内阻为1 200 Ω,经计算后将一阻值为R的电阻与微安表连接,进行改装。然后利用一标准毫安表,根据图(a)所示电路对改装后的电表进行检测(虚线框内是改装后的电表)。

(1)根据图(a)和题给条件,将(b)中的实物连接。
(2)当标准毫安表的示数为16.0mA时,微安表的指针位置如图(c)所示,由此可以推测出改装的电表量程不是预期值,而是 。(填正确答案标号)
A.18 mA
B.21 mA
C.25mA
D.28 mA

(3)产生上述问题的原因可能是 。(填正确答案标号)
A.微安表内阻测量错误,实际内阻大于1 200 Ω
B.微安表内阻测量错误,实际内阻小于1 200 Ω
C.R值计算错误,接入的电阻偏小
D.R值计算错误,接入的电阻偏大
(4)要达到预期目的,无论测得的内阻值是都正确,都不必重新测量,只需要将阻值为R的电阻换为一个阻值为kR的电阻即可,其中k= 。
24.(12分)
如图,在直角三角形OPN区域内存在匀强磁场,磁感应强度大小为B、方向垂直于纸面向外。一带正电的粒子从静止开始经电压U加速后,沿平行于x辅的方向射入磁场;一段时间后,该粒子在OP边上某点以垂直于x轴的方向射出。已知O点为坐标原点,N点在y轴上,OP与x轴的夹角为30°,粒子进入磁场的入射点与离开磁场的出射点之间的距离为d,不计重力。求

(1)带电粒子的比荷;
(2)带电粒子从射入磁场到运动至x轴的时间。
25.(20分)
竖直面内一倾斜轨道与一足够长的水平轨道通过一小段光滑圆弧平滑连接,小物块B静止于水平轨道的最左端,如图(a)所示。t=0时刻,小物块A在倾斜轨道上从静止开始下滑,一段时间后与B发生弹性碰撞(碰撞时间极短);当A返回到倾斜轨道上的P点(图中未标出)时,速度减为0,此时对其施加一外力,使其在倾斜轨道上保持静止。物块A运动的v-t图像如图(b)所示,图中的v1和t1均为未知量。已知A的质量为m,初始时A与B的高度差为H,重力加速度大小为g,不计空气阻力。

(1)求物块B的质量;
(2)在图(b)所描述的整个运动过程中,求物块A克服摩擦力所做的功;
(3)已知两物块与轨道间的动摩擦因数均相等,在物块B停止运动后,改变物块与轨道间的动摩擦因数,然后将A从P点释放,一段时间后A刚好能与B再次碰上。求改变前面动摩擦因数的比值。
26.(14分)
硼酸(H3BO3)是一种重要的化工原料,广泛应用于玻璃、医药、肥料等工艺。一种以硼镁矿(含Mg2B2O5·H2O、SiO2及少量Fe2O3、Al2O3)为原料生产硼酸及轻质氧化镁的工艺流程如下:

回答下列问题:
(1)在95 ℃“溶侵”硼镁矿粉,产生的气体在“吸收”中反应的化学方程式为_________。
(2)“滤渣1”的主要成分有_________。为检验“过滤1”后的滤液中是否含有Fe3+离子,可选用的化学试剂是_________。
(3)根据H3BO3的解离反应:H3BO3+H2O
H++B(OH)4,Ka=5.81×1010,可判断H3BO3是_______酸;在“过滤2”前,将溶液pH调节至3.5,目的是_______________。
(4)在“沉镁”中生成Mg(OH)2·MgCO3沉淀的离子方程式为__________,母液经加热后可返回___________工序循环使用。由碱式碳酸镁制备轻质氧化镁的方法是_________。
27.(15分)
硫酸铁铵[NH4Fe(SO4)2·xH2O]是一种重要铁盐。为充分利用资源,变废为宝,在实验室中探究采用废铁屑来制备硫酸铁铵,具体流程如下:

回答下列问题:
(1)步骤①的目的是去除废铁屑表面的油污,方法是_________________。
(2)步骤②需要加热的目的是_________________,温度保持80~95 ℃,采用的合适加热方式是_________________。铁屑中含有少量硫化物,反应产生的气体需要净化处理,合适的装置为_________________(填标号)。

(3)步骤③中选用足量的H2O2,理由是_________________。分批加入H2O2,同时为了_________________,溶液要保持pH小于0.5。
(4)步骤⑤的具体实验操作有______________,经干燥得到硫酸铁铵晶体样品。
(5)采用热重分析法测定硫酸铁铵晶体样品所含结晶水数,将样品加热到150 ℃时,失掉1.5个结晶水,失重5.6%。硫酸铁铵晶体的化学式为______________。
28.(14分)
水煤气变换[CO(g)+H2O(g)=CO2(g)+H2(g)]是重要的化工过程,主要用于合成氨、制氢以及合成气加工等工业领域中。回答下列问题:
(1)Shibata曾做过下列实验:①使纯H2缓慢地通过处于721 ℃下的过量氧化钴CoO(s),氧化钴部分被还原为金属钴(Co),平衡后气体中H2的物质的量分数为0.0250。
②在同一温度下用CO还原CoO(s),平衡后气体中CO的物质的量分数为0.0192。
根据上述实验结果判断,还原CoO(s)为Co(s)的倾向是CO_________H2(填“大于”或“小于”)。
(2)721 ℃时,在密闭容器中将等物质的量的CO(g)和H2O(g)混合,采用适当的催化剂进行反应,则平衡时体系中H2的物质的量分数为_________(填标号)。
A.<0.25B.0.25 C.0.25~0.50D.0.50E.>0.50
(3)我国学者结合实验与计算机模拟结果,研究了在金催化剂表面上水煤气变换的反应历程,如图所示,其中吸附在金催化剂表面上的物种用
标注。

可知水煤气变换的ΔH________0(填“大于”“等于”或“小于”),该历程中最大能垒(活化能)E正=_________eV,写出该步骤的化学方程式_______________________。
(4)Shoichi研究了467 ℃、489 ℃时水煤气变换中CO和H2分压随时间变化关系(如下图所示),催化剂为氧化铁,实验初始时体系中的PH2O和PCO相等、PCO2和PH2相等。

计算曲线a的反应在30~90 min内的平均速率
(a)=___________kPa·min1。467 ℃时PH2和PCO随时间变化关系的曲线分别是___________、___________。489 ℃时PH2和PCO随时间变化关系的曲线分别是___________、___________。
29.(12分)
将生长在水分正常土壤中的某植物通过减少浇水进行干旱处理,该植物根细胞中溶质浓度增大,叶片中的脱落酸(ABA)含量增高,叶片气孔开度减小,回答下列问题。
(1)经干旱处理后,该植物根细胞的吸水能力_______________________。
(2)与干旱处理前相比,干旱处理后该植物的光合速率会_______________________,出现这种变化的主要原因是_______________________。
(3)有研究表明:干旱条件下气孔开度减小不是由缺水直接引起的,而是由ABA引起的。请以该种植物的ABA缺失突变体(不能合成ABA)植株为材料,设计实验来验证这一结论。要求简要写出实验思路和预期结果。
30.(8分)
人的排尿是一种反射活动。回答下列问题。
(1)膀胱中的感受器受到刺激后会产生兴奋。兴奋从一个神经元到另一个神经元的传递是单向的,其原因是_________________。
(2)排尿过程的调节属于神经调节,神经调节的基本方式是反射,排尿反射的初级中枢位于_________________,成年人可以有意识地控制排尿,说明排尿反射也受高级中枢控制,该高级中枢位于_________________。
(3)排尿过程中,尿液还会刺激尿道上的_________________,从而加强排尿中枢的活动,促进排尿。
31.(8分)
某果园中存在A、B两种果树害虫,果园中的鸟(C)可以捕食这两种害虫;使用人工合成的性引诱剂Y诱杀B可减轻B的危害。回答下列问题。
(1)果园中包含害虫A的一条食物链是_________________。该食物链的第三营养级是_____________。
(2)A和B之间存在种间竞争关系,种间竞争通常是指_________________。
(3)性引诱剂Y传递给害虫B的信息属于_________________。使用性引诱剂Y可以诱杀B的雄性个体,从而破坏B种群的_________________,导致_________________降低,从而减轻B的危害
32.(11分)
某实验室保存有野生型和一些突变型果蝇。果蝇的部分隐性突变基因及其在染色体上的位置如图所示。回答下列问题。

(1)同学甲用翅外展粗糙眼果蝇与野生型(正常翅正常眼)纯合子果蝇进行杂交,F2中翅外展正常眼个体出现的概率为_________________。图中所列基因中,不能与翅外展基因进行自由组合的是_________________。
(2)同学乙用焦刚毛白眼雄蝇与野生型(直刚毛红眼)纯合子雌蝇进行杂交(正交),则子代雄蝇中焦刚毛个体出现的概率为_________________;若进行反交,子代中白跟个体出现的概率为_________________。
(3)为了验证遗传规律,同学丙让白眼黑檀体雄果蝇与野生型(红眼灰体)纯合子雌果蝇进行杂交得到F1,F1相互交配得到F2。那么,在所得实验结果中,能够验证自由组合定律的F1表现型是_________________,F2表现型及其分离比是_________________;验证伴性遗传时应分析的相对性状是_________________,能够验证伴性遗传的F2表现型及其分离比是_________________。
(二)选考题:共45分。请考生从2道物理题、2道化学题、2道生物题中每科任选一题作答。如果多做,则每科按所做的第一题计分。
33.[物理—选修3-3](15分)
(1)(5分)某容器中的空气被光滑活塞封住,容器和活塞绝热性能良好,空气可视为理想气体。初始时容器中空气的温度与外界相同,压强大于外界。现使活塞缓慢移动,直至容器中的空气压强与外界相同。此时,容器中空气的温度__________(填“高于”“低于”或“等于”)外界温度,容器中空气的密度__________(填“大于”“小于”或“等于”)外界空气的密度。
(2)(10分)热等静压设备广泛用于材料加工中。该设备工作时,先在室温下把惰性气体用压缩机压入到一个预抽真空的炉腔中,然后炉腔升温,利用高温高气压环境对放入炉腔中的材料加工处理,改部其性能。一台热等静压设备的炉腔中某次放入固体材料后剩余的容积为013 m3,炉腔抽真空后,在室温下用压缩机将10瓶氩气压入到炉腔中。已知每瓶氩气的容积为3.2×10-2 m3,使用前瓶中气体压强为1.5×107 Pa,使用后瓶中剩余气体压强为2.0×106 Pa;室温温度为27 ℃。氩气可视为理想气体。
(i)求压入氩气后炉腔中气体在室温下的压强;
(i i)将压入氩气后的炉腔加热到1 227 ℃,求此时炉腔中气体的压强。
34.[物理一选修3-4)(15分)
(1)(5分)一简谐横波沿x轴正方向传播,在t=5时刻,该波的波形图如图(a)所示,P、Q是介质中的两个质点。图(b)表示介质中某质点的振动图像。下列说法正确的是(填正确答案标号。选对1个得2分,选对2个得4分,选对3个得5分。每选错1个扣3分,最低得分为0分)

A.质点Q的振动图像与图(b)相同
B.在t=0时刻,质点P的速率比质点Q的大
C.在t=0时刻,质点P的加速度的大小比质点Q的大
D.平衡位置在坐标原点的质点的振动图像如图(b)所示
E.在t=0时刻,质点P与其平衡位置的距离比质点Q的大
(2)(10分)如图,一般帆船静止在湖面上,帆船的竖直桅杆顶端高出水面3 m。距水面4 m的湖底P点发出的激光束,从水面出射后恰好照射到桅杆顶端,该出射光束与竖直方向的夹角为53°(取sin53°=0.8)。已知水的折射率为![]()
(i)求桅杆到P点的水平距离;
(ii)船向左行驶一段距离后停止,调整由P点发出的激光束方向,当其与竖直方向夹角为45°时,从水面射出后仍然照射在桅杆顶端,求船行驶的距离。

35.[化学——选修3:物质结构与性质](15分)
在普通铝中加入少量Cu和Mg后,形成一种称为拉维斯相的MgCu2微小晶粒,其分散在Al中可使得铝材的硬度增加、延展性减小,形成所谓“坚铝”,是制造飞机的主要村料。回答下列问题:
(1)下列状态的镁中,电离最外层一个电子所需能量最大的是 (填标号)。
A.[Ne]
B. [Ne]
C. [Ne]
D.[Ne]![]()
(2)乙二胺(H2NCH2CH2NH2)是一种有机化合物,分子中氮、碳的杂化类型分别是 、 。乙二胺能与Mg2+、Cu2+等金属离子形成稳定环状离子,其原因是 ,其中与乙二胺形成的化合物稳定性相对较高的是 (填“Mg2+”或“Cu2+”)。
(3)一些氧化物的熔点如下表所示:
|
氧化物 |
Li2O |
MgO |
P4O6 |
SO2 |
|
熔点/°C |
1570 |
2800 |
23.8 |
75.5 |
解释表中氧化物之间熔点差异的原因 。
(4)图(a)是MgCu2的拉维斯结构,Mg以金刚石方式堆积,八面体空隙和半数的四面体空隙中,填入以四面体方式排列的Cu。图(b)是沿立方格子对角面取得的截图。可见,Cu原子之间最短距离x= pm,Mg原子之间最短距离y= pm。设阿伏加德罗常数的值为NA,则MgCu2的密度是 g·cm3(列出计算表达式)。

36.[化学——选修5:有机化学基础](15分)
化合物G是一种药物合成中间体,其合成路线如下:

回答下列问题:
(1)A中的官能团名称是 。
(2)碳原子上连有4个不同的原子或基团时,该碳称为手性碳。写出B的结构简式,用星号(*)标出B中的手性碳 。
(3)写出具有六元环结构、并能发生银镜反应的B的同分异构体的结构简式 。(不考虑立体异构,只需写出3个)
(4)反应④所需的试剂和条件是 。
(5)⑤的反应类型是 。
(6)写出F到G的反应方程式 。
(7)设计由甲苯和乙酰乙酸乙酯(CH3COCH2COOC2H5)制备
的合成路线 (无机试剂任选)。
37.[生物——选修1:生物技术实践](15分)
已知一种有机物X(仅含有C、H两种元素)不易降解,会造成环境污染。某小组用三种培养基筛选土壤中能高效降解X的细菌(目标菌)。
Ⅰ号培养基:在牛肉膏蛋白胨培养基中加入X(5 g/L)。
Ⅱ号培养基:氯化钠(5 g/L),硝酸铵(3 g/L),其他无机盐(适量),X(15 g/L)。
Ⅲ号培养基:氯化钠(5 g/L),硝酸铵(3 g/L),其他无机盐(适量)。X(45 g/L)。
回答下列问题。
(1)在Ⅰ号培养基中,为微生物提供氮源的是___________。Ⅱ、Ⅲ号培养基中为微生物提供碳源的有机物是_________。
(2)若将土壤悬浮液接种在Ⅱ号液体培养基中,培养一段时间后,不能降解X的细菌比例会_________,其原因是_________。
(3)Ⅱ号培养基加入琼脂后可以制成固体培养基,若要以该固体培养基培养目标菌并对菌落进行计数,接种时,应采用的方法是______________。
(4)假设从Ⅲ号培养基中得到了能高效降解X的细菌,且该菌能将X代谢为丙酮酸,则在有氧条件下,丙酮酸可为该菌的生长提供_________和_________。
38.[生物——选修3:现代生物科技专题](15分)
基因工程中可以通过PCR技术扩增目的基因。回答下列问题。
(1)基因工程中所用的目的基因可以人工合成,也可以从基因文库中获得。基因文库包括________和________。
(2)生物体细胞内的DNA复制开始时,解开DNA双链的酶是________。在体外利用PCR技术扩增目的基因时,使反应体系中的模板DNA解链为单链的条件是________。上述两个解链过程的共同点是破坏了DNA双链分子中的________。
(3)目前在PCR反应中使用Taq酶而不使用大肠杆菌DNA聚合酶的主要原因是________。
2019年普通高等学校招生全国统一考试
理科综合参考答案
1.B 2.C 3.A 4.D 5.C 6.D7.A8.B9.D10.D11.C12.B13C 14.A 15.D 16.B 17.B 18.C 19.BD 20.BC 21.AC
22.A 0.233 0.75
23.(1)连线如图所示

(2)C (3)AC (4)![]()
24.(1)设带电粒子的质量为m,电荷量为q,加速后的速度大小为v。由动能定理有
①
设粒子在磁场中做匀速圆周运动的半径为r,由洛伦兹力公式和牛领第二定律有
②

由几何关系知d=
r③
联立①②③式得
④
(2)由几何关系知,带电粒子射入磁场后运动到x轴所经过的路程为
⑤
带电粒子从射入磁场到运动至x轴的时间为
⑥
联立②④⑤⑥式得
⑦
25.(1)根据图(b),v1为物块A在碰撞前瞬间速度的大小,
为其碰撞后瞬间速度的大小。设物块B的质量为
,碰撞后瞬间的速度大小为
,由动量守恒定律和机械能守恒定律有
①
②
联立①②式得
③
(2)在图(b)所描述的运动中,设物块A与轨道间的滑动摩擦力大小为f,下滑过程中所走过的路程为s1,返回过程中所走过的路程为s2,P点的高度为h,整个过程中克服摩擦力所做的功为W,由动能定理有
④
⑤
从图(b)所给的v-t图线可
⑥
⑦
由几何关系
⑧
物块A在整个过程中克服摩擦力所做的功为
⑨
联立④⑤⑥⑦⑧⑨式可得
⑩
(3)设倾斜轨道倾角为θ,物块与轨道间的动摩擦因数在改变前为μ,有
![]()
设物块B在水平轨道上能够滑行的距离为
,由动能定理有
![]()
设改变后的动摩擦因数为
,由动能定理有
![]()
联立①③④⑤⑥⑦⑧⑩式可得
![]()
26.(1)NH4HCO3+NH3
(NH4)2CO3
(2)SiO2、Fe2O3、Al2O3 KSCN
(3)一元弱 转化为H3BO3,促进析出
(4)2Mg2++3
+2H2O
Mg(OH)2·MgCO3↓+2![]()
(或2Mg2++2
+H2O
Mg(OH)2·MgCO3↓+CO2↑) 溶浸 高温焙烧
27.(1)碱煮水洗
(2)加快反应 热水浴 C
(3)将Fe2+全部氧化为Fe3+;不引入杂质 防止Fe3+水解
(4)加热浓缩、冷却结晶、过滤(洗涤)
(5)NH4Fe(SO4)2·12H2O
28.(1)大于
(2)C
(3)小于 2.02 COOH*+H*+H2O*===COOH*+2H*+OH*(或H2O*=== H*+OH*)
(4)0.0047 b c a d
29.
(1)增强
(2)降低 气孔开度减小使供应给光合作用所需的CO2减少
(3)取ABA缺失突变体植株在正常条件下测定气孔开度,经干旱处理后,再测定气孔开度,预期结果是干旱处理前后气孔开度不变。
将上述干旱处理的ABA缺失突变体植株分成两组,在干旱条件下,一组进行ABA处理,另一组作为对照组,一段时间后,分别测定两组的气孔开度,预期结果是ABA处理组气孔开度减小,对照组气孔开度不变。
30.
(1)神经递质由突触前膜释放,作用于突触后膜
(2)脊髓 大脑皮层
(3)感受器
31
(1)果树→A→C C
(2)两种或两种以上生物相互争夺相同的资源和空间而表现出来的相互抑制现象
(3)化学信息 性别比例 种群密度
32.
(1)3/16 紫眼基因
(2)0 1/2
(3)红眼灰体
红眼灰体∶红眼黑檀体∶白眼灰体∶白眼黑檀体=9∶3∶3∶1
红眼/白眼
红眼雌蝇∶红眼雄蝇∶白眼雄蝇=2∶1∶1
33.[物理——选修3–3]
(1)低于 大于
(2)(i)设初始时每瓶气体的体积为V0,压强为p0;使用后气瓶中剩余气体的压强为p1。假设体积为V0、压强为p0的气体压强变为p1时,其体积膨胀为V1。由玻意耳定律
p0V0=p1V1 ①
被压入进炉腔的气体在室温和p1条件下的体积为
②
设10瓶气体压入完成后炉腔中气体的压强为p2,体积为V2。由玻意耳定律
p2V2=10p1
③
联立①②③式并代入题给数据得
p2=32×107 Pa ④
(ii)设加热前炉腔的温度为T0,加热后炉腔温度为T1,气体压强为p3,由查理定律
⑤
联立④⑤式并代入题给数据得
p3=1.6×108 Pa ⑥
34、[物理——选修3–4]
(1)CDE
(2)
(i)设光束从水面射出的点到桅杆的水平距离为x1,到P点的水平距离为x1;桅杆高度为h1,P点处水深为h2:微光束在水中与竖直方向的夹角为θ。由几何关系有
①
②
由折射定律有
sin53°=nsinθ ③
设桅杆到P点的水平距离为x,则
x=x1+x2 ④
联立①②③④式并代入题给数据得
x=7 m ⑤
(ii)设激光束在水中与竖直方向的夹角为45°时,从水面出射的方向与竖直方向夹角为
,由折射定律有
sin
=nsin45° ⑥
设船向左行驶的距离为x',此时光束从水面射出的点到桅杆的水平距离为x'1,到P点的水平距离为x'2,则
⑦
⑧
⑨
联立⑤⑥⑦⑧⑨式并代入题给数据得
x'=
⑩
35.(1)A
(2)sp3 sp3 乙二胺的两个N提供孤对电子给金属离子形成配位键 Cu2+
(3)Li2O、MgO为离子晶体,P4O6、SO2为分子晶体。晶格能MgO>Li2O。分子间力(分子量)P4O6>SO2
(4)
![]()
36.(1)羟基
(2)
(3)
(4)C2H5OH/浓H2SO4、加热
(5)取代反应
(6)

(7)

37.
(1)牛肉膏、蛋白胨 X
(2)下降 不能降解X的细菌因缺乏碳源不能增殖,而能降解X的细菌能够增殖
(3)稀释涂布平板法
(4)能量 合成其他物质的原料
38.
(1)基因组文库 cDNA文库
(2)解旋酶 加热至90~95 ℃ 氢键
(3)Taq酶热稳定性高,而大肠杆菌DNA聚合酶在高温下会失活
本文来自:逍遥右脑记忆 /gaokao/1338795.html
相关阅读:准备错题本和好题本
高考生高效复习数学方法
高考倒计时30天:数学答题技巧
增强记忆力趣闻 大脑爱打盹
高考30天物理冲刺技巧有哪些
